Электронная схема и электронная формула магния ...
Купить магниевую стружку
Вычислите массу сульфата магния который образуе...
Горение магния (стружка) + дюралевая стружка - ...
Магний и его сплавы
РМК приём металлолома
Визначте масу магній фосфіду, якщо відомо, що в...
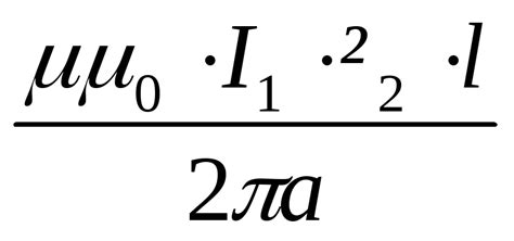
Магнітне поле. Сила Ампера - online presentation
Металлическая стружка и магнит.mp4 - YouTube
Как сделать магнитную стружку - YouTube
3.5.3. Общие принципы производства магния
Магний. Общая характеристика магния - презентац...
Позначте полюси стрічкового магніту, якщо при н...
Стружка металлическая
Магний стружка | Pyrohobby - Магазин ПироХобби
Распишите магний
Ця формула магнію легко засвоюється організмом....
Строение магния
Механика и техника «сухого листа» | Статья в жу...
Для чего нужен магний? Какая форма магния лучше...
обчисліть тепловий ефект реакції горіння магнію...
Магнітне поле, індукція
Чистые металлы – «Industrial»
StayAliveShop.com Магнезиеви стружки
Стружка - производство, образование и переработ...
Магнітне поле струму. Правило свердлика - презе...
Розв’язання
Магния сульфат
Вот зачем нужен МАГНИЙ! Какая форма магния усва...
Магний. Электронное строение атома Mg - презент...
Фізика. 9 клас. Магнітне поле струму. Правило с...
При сжигании магния массой 6,08г выделяется 152...
Применение магния и его значение - YouTube