нави проигрывают раунд 2 x 5 - YouTube
1.37 official 2x2 austrian NR average! - YouTube
Solved (5+35)x2+(3−25)x−1=0 | Chegg.com
2х2 - YouTube
SOLVED:5 x^2=-35
Заставка Далее Анонсы И Рекламный Блок (2x2 04....
Фото: 5x2 / Кадр из фильма «5x2» (2004) #1966486
Result
Solved 2x2-25-3xx-5 | Chegg.com
35 ММ | ФИНАЛ | ХОРОШАЯ КОНЦОВКА | #6 - YouTube
ДВА НОВЫХ 7* НА 2.35 + ВОЗВЫШЕНИЕ | Прокачка ак...
2x2-2017-4-34_25489309278_o | 2x2 pasaule | Flickr
2x0.5 ПРОТИВ ВСЕХ | РЕАКЦИИ БАТТЛ-РЭПЕРОВ НА РА...
x+3x/2=35(find x)plz - Brainly.in
Свързващ елемент с топче 35х0,5мм. топче=2мм. ц...
СМОТРИМ КРУТЫЕ БАТТЛЫ 2X0.5 | РЕАКЦИЯ | ПЕРВОЕ ...
Анонс: Инспектор 2x2 [2х2, 2024] (5) - YouTube
Solved x2+2x-35x2-5x-14÷x+7x+2 | Chegg.com
КУБОК МЦ: 2x0.5 ПРОТИВ ВСЕХ / РЕАКЦИЯ НА БАТТЛ ...
Solved x2-12x+35 | Chegg.com
2x2 - Мастер паблишинг
випробовування плуга квернеланд 2-35 з Т40АМ і ...
Реакция на Кубок МЦ 2x0.5 ПРОТИВ ВСЕХ - YouTube
Solved 35x2+7x+20=0 | Chegg.com
You will be given the answer. You must give the...
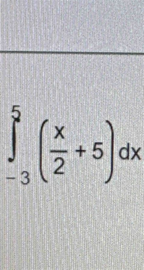
Solved ∫-35(x2+5)dx | Chegg.com
2х3 - YouTube
Solved 3x2+35x-6.3=0 | Chegg.com
ЛУЧШИЙ РАУНД ОТ КЛАУДОВ НА МАЖОРЕ. 2 x 5 ПРОТИВ...
В наявності класичні плуги, від 2/20 до 3/35, н...
Заставка Далее Новости Анонсы И Рекламный Блок ...
2.35 सेकंदात वेळ देणारी प्रियांका ... ह्या रस्त...
Заставка Далее Анонсы и Рекламный Блок (2x2 03....