Дидактические материалы по алгебре 8 класс жохо...
ГДЗ Алгебра 8 класс Ткачева, Федорова - Дидакти...
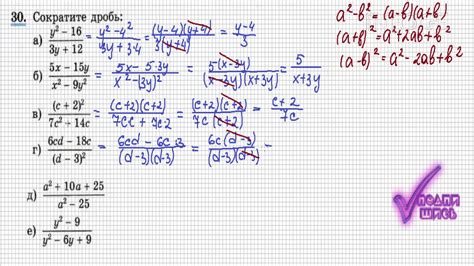
Варинат 1 номер 25 - ГДЗ по алгебре 8 класс Мер...
алгебра дидактические материалы 8 класс - купит...
9785346026129 Алгебра. 8 класс. Дидактический м...
ГДЗ решебник по алгебре 8 класс Жохов, Макарыче...
ГДЗ Номер Вариант 1 Алгебра 8 класс Жохов Дидак...
Учебник дидактический материал по алгебре жохов...
8 класс алгебра | PDF
Алгебра. Учебник 8 класс. Ю. Н. Макарычев. - ку...
Дидактический материалы. Алгебра 8 класс . Авто...
алгебра 8 класс бевз | PDF
Варинат 3 номер 20 - ГДЗ по алгебре 8 класс Мер...
Дидактические материалы по алгебре 8 ответы: ГД...
алгебра 8 класс дидактические материалы жохов |...
Учебник 8 класс алгебра фото
Алгебра. 8 класс. Дидактические материалы. Мерз...
Алгебра. 8 класс. Учебник | Алимов Ш. А. - купи...
Варинат 1 номер 21 - ГДЗ по алгебре 8 класс Мер...
алгебра 8 класс никольский | PDF
Алгебра 8 класс дидактические материалы купить ...
Дидактический алгебра 8 класс макарычев – Teleg...
Алгебра 8 класс дорофеев решебник :: ualacetgua
Алгебра. 8 класс. Дидактические материалы - куп...
Алгебра 8 класс дорофеев дидактические материал...
ГДЗ решебник по алгебре 8 класс Попов дидактиче...
решебник к Дидактическим материалам по Алгебре ...
Алгебра 8 класс 775 – Telegraph
ГДЗ итоговое повторение (С.А. Теляковского) / Н...
ГДЗ по Алгебре 8 класс Дидактические Жохов, Мак...
Бевз 8 Класс Алгебра - kranglubor
Варинат 1 номер 14 - ГДЗ по алгебре 8 класс Мер...
ОК ГДЗ Алгебра 8 класс Потапов Дидактические | ...
Варинат 3 номер 180 - ГДЗ по алгебре 8 класс Ме...