Алгебра. 8 класс. Самостоятельные и контрольные...
Алгебра. 8 класс. Рабочая тетрадь | Арефьева Ир...
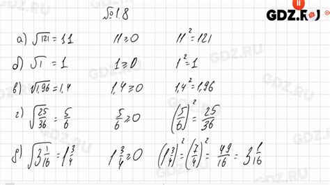
(Решено)Упр.30.17 ГДЗ Мордкович Семенов 8 класс...
Глава 2 упражнение - 2.195 гдз по алгебре 8 кла...
Глава 1 № 1-100 - Алгебра 8 класс Арефьева - Yo...
Алгебра. 8 класс Арефьева И. Г. - электронный у...
Арефьева, Пирютко: Алгебра. 8 класс. Школа юных...
ГДЗ по алгебре 11 класс
Я проверяю свои знания глава 1 - 8 гдз по алгеб...
§5 - 5.8 гдз по алгебре 10 класс Арефьева, Пирю...
Алгебра 8 класс
номер 249 страница 159 гдз по алгебре 11 класс ...
ГДЗ по алгебре 8 класс
Информатика. 8 класс - Котов В.М., Лапо А.И. и ...
Ершов Алгебра 8 Класс Гдз - instrukciyagram16
Повторение № 1-100 - Алгебра 8 класс Арефьева -...
§32 - 32.8 гдз по алгебре 10 класс Арефьева, Пи...
номер 8 страница 217 гдз по алгебре 10 класс Ар...
Гдз по Алгебре за 8 класс, авторы Арефьева И.Г....
Современный урок. Алгебра. 8 класс Арефьева И. ...
Глава 3 № 1-100 - Алгебра 8 класс Арефьева - Yo...
Варинат 1 номер 27 - ГДЗ по алгебре 8 класс Мер...
Алгебра 8 класс Никольский Ч 8 п.3.1-3.3 - YouTube
Математика. Алгебра. 8 класс. Углублённый урове...
Книга: Алгебра. 8 класс. Школа юных математиков...
Алгебра. 8 класс. Учебник. В 3-х частях. Часть ...
Алгебра 8 класс дорофеев решебник :: ualacetgua
§25 №25.2 8 КЛАСС Сборник задач по алгебре 7-9 ...
номер 11 страница 195 гдз по алгебре 10 класс А...