Алгебра. 7 клас – скачать бесплатно на aversev.by
ГДЗ по алгебре 8 класс
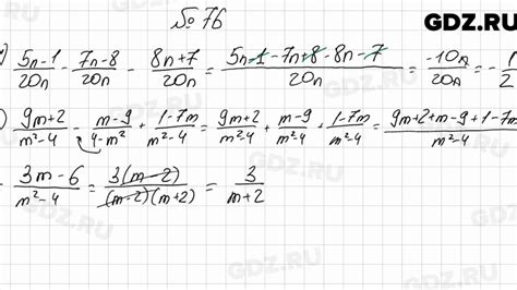
Calaméo - алгебра 8 класс
Алгебра 7 класс APK para Android - Descargar
алгебра 8 класс никольский | PDF
Алгебра Задачник 7 Класс Мордкович Решебник - r...
Упражнение 8.47. Алгебра 7 класс Мордкович А.Г....
Алгебра 8 мордкович 2022 – Telegraph
В мире информатики и математики: ДЗ_алгебра_7 к...
Решебник (гдз) по учебнику алгебра 8 класс Нико...
76 - Алгебра 8 класс Мерзляк - YouTube
В мире информатики и математики: 7 класс_ДЗ_Алг...
Учебник Алгебра 8 Класс Теляковский – купить в ...
Алгебра 8 макарычев 2007 – Telegraph
Алгебра 8 Контрольные Мерзляк ДМ - КОНТРОЛЬНЫЕ ...
Сериал "8 клас. Алгебра" 8 клас. Алгебра. Квадр...
Варинат 1 номер 27 - ГДЗ по алгебре 8 класс Мер...
А. Г. Мерзляк, Алгебра. 8 класс – читать онлайн...
Алгебра 8 класс 176 – Telegraph
Алгебра 8 класс 2016 – Telegraph
Упражнение 8.38. Алгебра 7 класс Мордкович А.Г....
КР-7. Квадратные корни. Действительные числа. А...
8 класс алгебра | PDF
Алгебраическая дробь 7-8 класс. Алгебра. Рабочи...
Варинат 1 номер 25 - ГДЗ по алгебре 8 класс Мер...
Алгебра 7 класс распечатать – Telegraph
Варинат 2 номер 75 - ГДЗ по алгебре 8 класс Мер...
ГДЗ по Алгебре 8 класс учебник Мерзляк страница...
Підручники з алгебри для 7 класу
81 - Алгебра 7 класс Мерзляк - YouTube
ГДЗ по алгебре 7 класс (решебник) и ответы с по...
ГДЗ решебник по алгебре 8 класс Жохов, Макарыче...
Решебник Алгебре 7 Класс Бевз Скачать бесплатно...
Варинат 1 номер 21 - ГДЗ по алгебре 8 класс Мер...