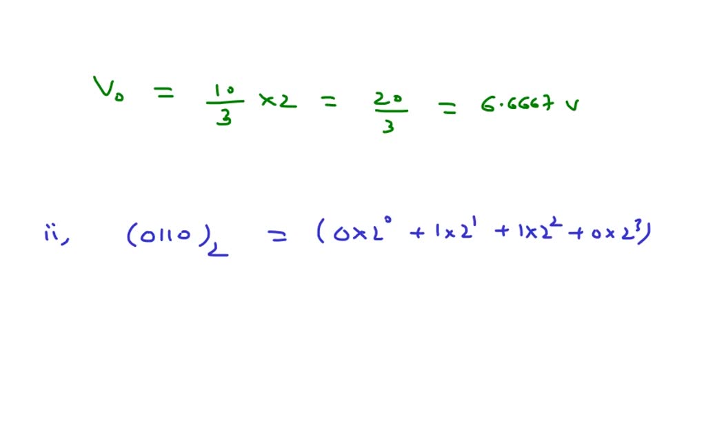
SOLVED: Determine the output of a 4 bit R-2R D to A converter (DAC), if ...

SOLVED: Determine the output of a 4 bit R-2R D to A converter (DAC), if ...